Use pencil and paper to answer the question.
Writing
Egyptian FractionsA fifth grade class was doing research about fractions. They’ve found
that the ancient Egyptians wrote all of their fractions as a sum of unit fractions where
no
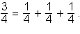
unit fraction is repeated.For example, you cannot write

One way to write it would
be

An algorithm for finding a unit fraction expression for any fraction is
the
Greedy Method. To use the Greedy Method on fraction
X:Start with the largest
unit fraction less than fraction
X. Then continue in the same manner to represent the
remaining value.
Example: Represent

as a sum of unit fractions.
Step 1:  | is
the largest unit fraction  |
Step
2:  | is the largest unit fraction  |
| |
a. Represent

as a sum of unit fractions. Show all of your work.
Explain your
thinking.
b. Represent

as a sum of unit
fractions in a different way.
Show all of your steps.
